标定流程
步骤1:摄像头选型
- 确定上传图片尺寸: 如果摄像头规格为16:9,则上传图片尺寸为 (432,240);如果规格为 4:3,则上传图片尺寸为(320,240)。
- 客户提供摄像头理想安装角度A0 (0度<=A0<=50度, 建议45度)和 理想安装高度H0(80mm <= H0 <= 250mm)给图灵。
- 图灵提供表1查找摄像头FOV大致范围,客户根据 FOV 范围进行摄像头选型或者根据admin后台中的选型查询中计算根据用户提供数据进行计算给出相关建议。
步骤2:摄像头标定-拍摄第一组照片
拍摄第一组多角度标定图片:两种方式 二选一,建议采用方案 1 和第二组图案在同一场景拍摄。
标定图案(标定板或标定纸)平放于桌面,移动摄像头从尽可能多的角度拍摄 8 张左右有效标定图案。
2)摄像头固定,用尽可能多的角度移动标定板,拍摄8张左右有效标定图案。
有效标定图案的定义:1、平整:标定图案绝对平整。 2、齐全:所有网格出现在视野 3、面积:图案边 长不小于视野的 2/3。建议标定图片尺寸和上传图片尺寸统一。
第一组图片示例,标定图案位于,多角度不同平面。目的:测量摄像头像素焦距 fL_240
——————————————————————————————————————

步骤2标定视频可以找图灵项目同事取得——————————————————————————————————————
步骤3:摄像头标定-拍摄第二组照片
拍摄第二组桌面标定图片,选定的摄像头装到设备上,与桌面垂线的夹角接近理想角度 A0 不变(建议 45 度),标定图案在桌面上旋转或平移,按照流程拍摄 8 张左右有效标定图案给图灵。
图灵测量(或客户在图灵的指导下测量)得到摄像头在 240 尺寸图片下的像素焦距 fL_240,高度 H 和角度A。
需要满足 fL_240 = zoom*H/cos(A)
其中 zoom=1.5 是一个常数,为绘本图案的缩放尺寸。需要调整其他 3 个变量使 zoom 值恒定在 1.5。 如果未能满足要求,则给出针对 A 和 H 调整建议。客户根据建议重复步骤 步骤3。
第二组图片示例:在使用场景的角度和高度下,拍摄多张图案,标定图案只能在桌面旋转和平移。目的: 测量摄像头与桌面垂线夹角 A (0/30/45/60/90/120/160/180)和距离桌面高度 H(水平桌面0高度)
———————————————————————————————————————

步骤3标定视频可以找图灵项目同事取得———————————————————————————————————————
步骤4 识别评判标准
1)标定是否合理以标定工具为准,标定工具为及时反馈,是否符合要求;
2)图片的分辨率传输是否符合要求,确认方案是采用 debug 接口测试;
在 A4纸上打印有“正圆”图形;
打开 debug 接口;
程序处理矫正后的图片上的图形是否“正圆”;
如非“正圆”说明标定有问题或图片宽高比有问题;
备注:造成图片宽高比的异常原因:上传的图片的宽高比与摄像头本身的宽高比参数不一致;
步骤5:如果满足要求,则最终确定接口参数 1、上传图片尺寸-像素:步骤 1 确定的(320,240)或(432,240) 2、摄像头在 240 尺寸下的像素焦距 fL_240,单位(像素) 3、摄像头高度 H,单位(毫米) 4、摄像头和桌面之间的入射角 A,单位(度) 5、平均书高,固定为 250(毫米) 后续产品需要严格按照这些参数设置摄像头,并提供步骤 3 的标定程序供客户做质量检测。

附录一:绘本识别过程中的图片矫正原理。为什么要精确测量摄 像头焦距 FL_240,高度 H,和角度 A?
附录二:RGB 摄像头标定原理
(此章 A 指摄像头)
小孔成像模型:
s m’=A[R|t] M’
或者

其中 M’为客观世界坐标系中的齐次坐标。[R|t] 为外参矩阵,表示摄像头坐标系(以摄像头镜头为原点 的坐标系)与客观世界坐标系的关系。R 为 3x3 旋转矩阵,t 为 1x3 位移向量。A 为摄像头内参矩阵,fx 为 x 方向像素焦距,fy 为 y 方向像素焦距,cx 为 x 方向投影中心,cy 为 y 方向。表示摄像头三维坐标系 与二维图片像素坐标系的映射关系。s 为缩放值,m’为图片上像素。
即,在客观世界坐标系中的一个坐标为 M’的点经过外参矩阵和内参矩阵后,在图片上的坐标为 m’。

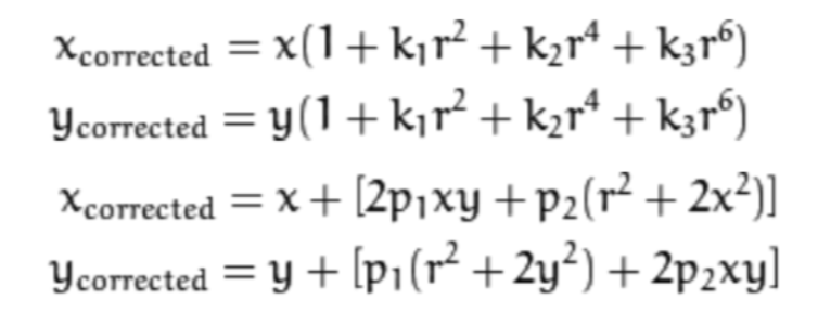
二维图片畸变模型,矫正后图片像素坐标和原始图片像素坐标的对应关系如下

其中 dist = [k1, k2, p1, p2, k3] 为畸变向量。